News
- Home
- News

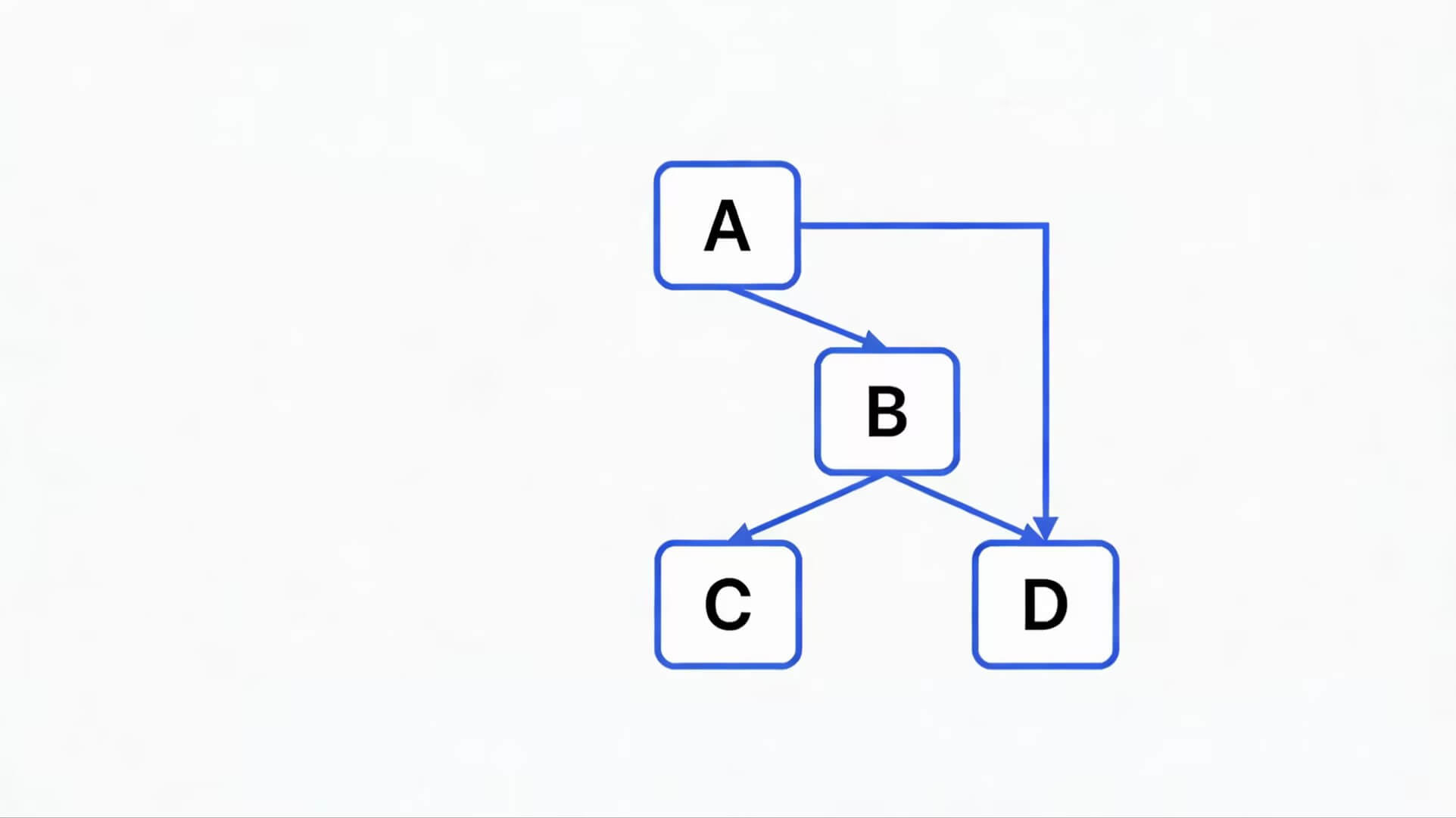
Python’s __mro__
Python’s __mro__ (Method Resolution Order) is a crucial concept that determines how Python looks up methods in inheritance hierarchies. Let’s

Understanding Python’s Memory Management: Reference Counting, Garbage Collection, and Optimization
Memory management is a critical aspect of programming, and Python handles it automatically. But how does it work behind the

Python Sets: remove() vs discard()
Python sets have two methods for removing elements: remove() and discard(). They look identical: colors = {“red”, “green”, “blue”} colors.remove(“green”)

Exploring spaCy: Fast and Efficient NLP in Python
Natural Language Processing, or NLP, has become a crucial part of many modern applications. From chatbots to content analysis and

Python try Without except
Mastering Python try Without except When you think of exception handling in Python, the try/except duo probably comes to mind.

⚡ 10 Python Libraries That Make You More Productive “Forbidden”
Python is famous for productivity—but most developers only scratch the surface. Beyond the usual requests, pandas, and pytest, there exists

Python isdigit vs isnumeric
When working with user input or parsing data, checking if a string contains only numbers is a common task in

What is a Python Decorator?
What is a Python Decorator? A Python decorator is a function that modifies another function or class without changing its

Building Your First MCP Server with Python and Vibe Coding
We have reached a plateau in how we interact with Large Language Models (LLMs). Most developers are still treating AI